NewGen
[Qiskit] 1. 양자기본 개념. 본문
지금의 컴퓨터는 1,0 의 상태로 구분.
양자에서는 큐빗으로 구분.
큐빗이란 무엇인가?
확률 값 단위를 말함.
original link :
https://qiskit.org/textbook/what-is-quantum.html
What is Quantum?
A university quantum algorithms/computation course supplement based on Qiskit
qiskit.org
양자 모델
간단히 말해서, 양자 이론은 음수를 가진 확률 이론입니다.
이것은 무엇을 의미 하는가? 의미가 없기 때문에 부정적인 확률을 가질 수 없습니다. 이를 수용하기 위해 진폭 이라고 하는 새로운 양을 사용하고 대신 이를 나무에 플로팅합니다. 음의 확률을 가질 수 없고 모든 확률의 합이 1이 되어야 한다는 사실을 피하기 위해 수학 트릭을 사용합니다. 확률을 계산하기 위해 진폭을 제곱합니다.
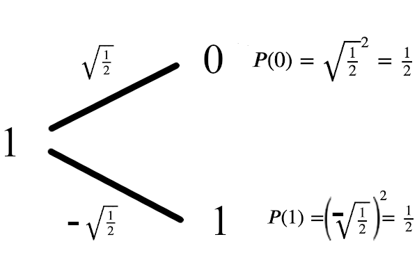
예를 들어 보겠습니다. 단일 양자 동전 던지기의 진폭 트리는 다음과 같습니다.

상태 0에서 시작하여 양자 동전 던지기가 두 결과에 동일한 진폭을 할당한다는 것을 알 수 있습니다. 이 진폭을 제곱하면 0 또는 1(50-50 기회)을 측정할 정확한 확률을 제공합니다. 진폭이 다음과 같다는 것을 어떻게 알았습니까?12? 그것들은 우리에게 올바른 답을 주는 가치이기 때문입니다!
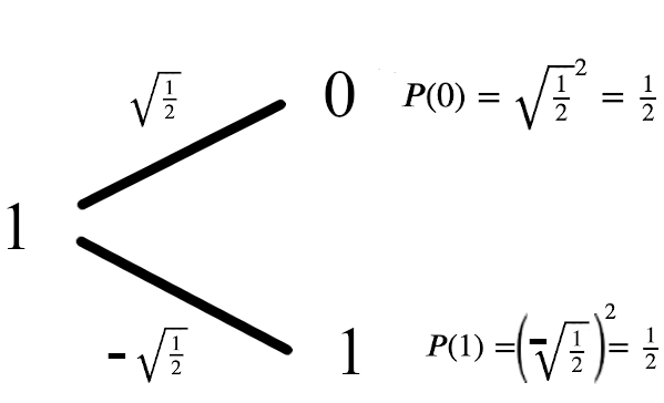
상태 1부터 진폭 트리가 다릅니다.

여기서 우리는 1 결과의 진폭에 나타나는 첫 번째 음수를 볼 수 있습니다. 확률을 계산하기 위해 진폭을 제곱하면 이 음수 기호가 사라지고(음수 곱하기 음수는 양수임을 기억하십시오) 위에서 측정한 50-50 확률을 봅니다. 흥미로운 결과는 이러한 확률을 함께 연결할 때입니다.
이중 양자 동전 던지기 설명
고전적 확률과 마찬가지로 분기를 따라 진폭을 곱하여 각 결과의 진폭을 계산합니다.

그리고 각 결과를 측정할 확률을 계산하기 위해 이러한 진폭을 더한 다음 제곱합니다.


'QUANTUM COMPUTING' 카테고리의 다른 글
| [Qiskit] Basic Quantum circuit (0) | 2021.08.02 |
|---|---|
| [기사번역]GPT-3 의 핵심은 양자망으로 연결되는 네트워크 (0) | 2021.07.20 |
| [논문번역] 3D Topological Quantum Computing (0) | 2021.07.20 |
| [논문번역] Quantum computations (course of lectures) (0) | 2021.07.20 |