Notice
Recent Posts
Recent Comments
Link
NewGen
[구글 코랩 - 시작] 삼전 데이터 수집하여 초간단 딥러닝 주가예측 돌려보기. 본문
* 뭐든 선지자들이 해 놓은걸 따라하면서 배워야 함..
* 미리 감사드립니다. 잘 배우겠습니다.
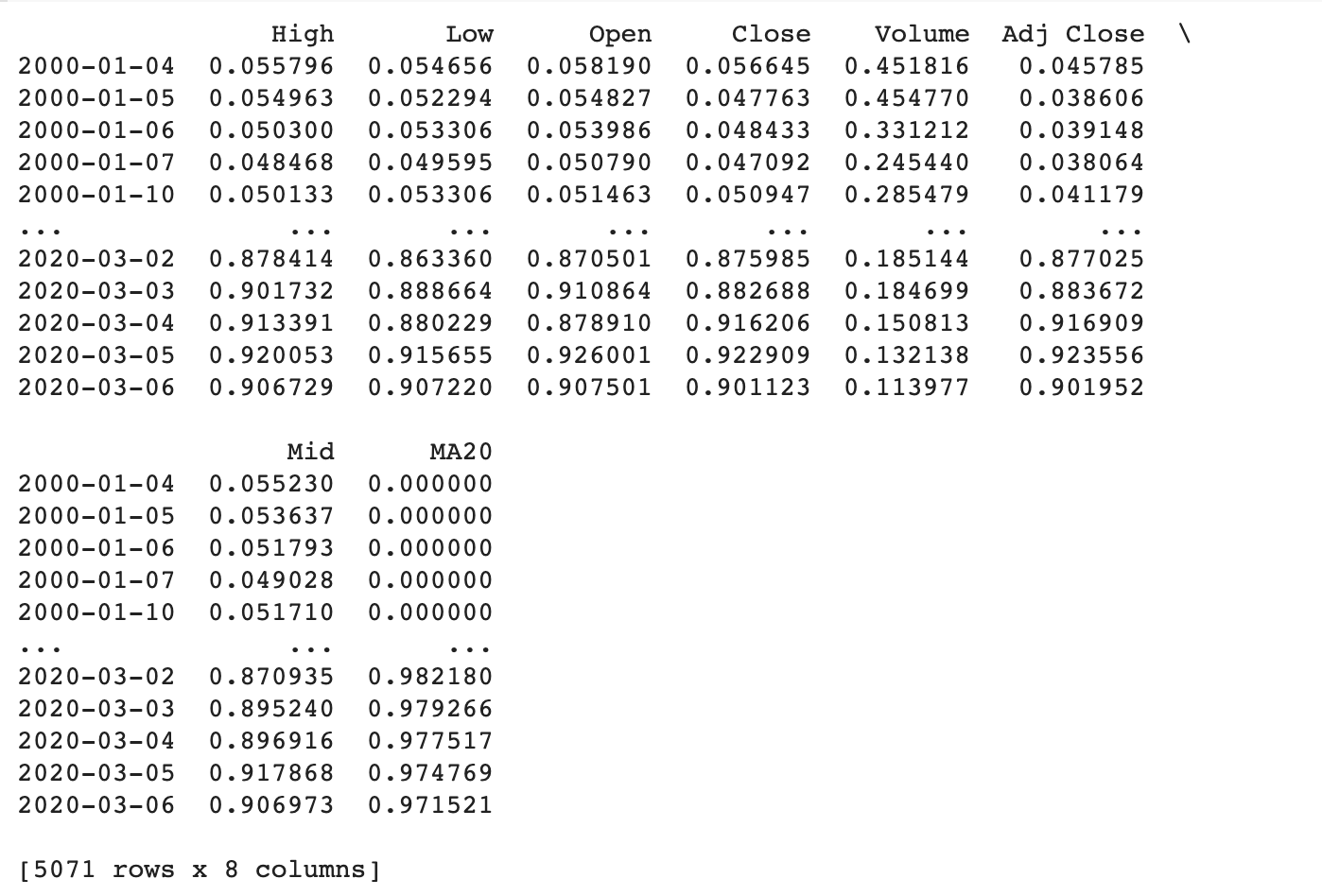
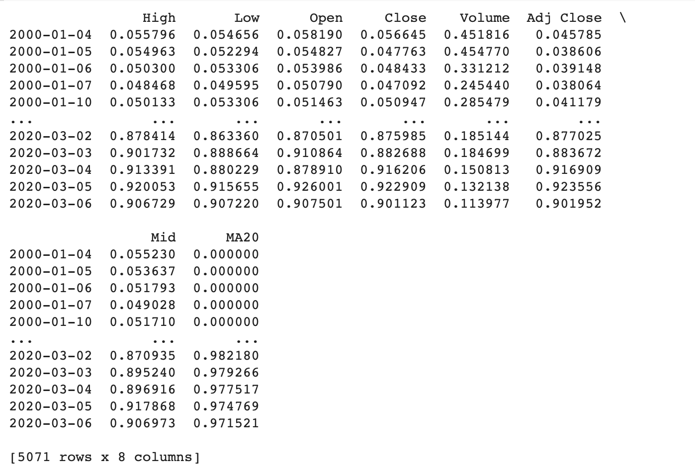
1. 야후 파이낸스 라이브러리를 통하여 수집된 삼전 데이터.

2. 데이터 가공 시작의 정석 중간값 구하기.

3. 이동평균의 최애 기준선인 20일선 데이터 가공.

4. 데이터 정규화의 기본 min-max scailing..

5. 구글 코랩 세션을 이용하여, 구글 서버로 딥러닝 수행...
장점은 내가 사용하는 컴은 조용함. 엄청난 연산을 구글 서버가 함.
나는 그저 웹브라우져로 세션을 열어서 코드를 작성하고, 모델을 설정하고, 딥러닝을 수행시키면 된다.
엄청난 연산 수행을 구글서버가 해줌. 게다가 속도가 빠른듯??
아직 이용하는 사람이 적어서 그런가.. 생각보다 빠름.

6. 트레이닝 횟수 500번만 돌려봄.. 생각보다 빨리 끝남..

7. 1000번 수행. 뭐 결과는 비슷함.

* 정리.
- 예측과 실 데이터간 갭이 생각보다 큼. 신경망 설계가 필요함.
- 신경망 설계 이런거 없이 그냥 돌아다니는 코드로 초간단 테스트를 해봄.
- 웬만한 피씨성능보다 빠름.
- 재미있는거 많이 해 볼수 있을듯 함.
- 신뢰성있는 데이터만 확보된다면 상당히 많은 시뮬레이션을 돌려 볼 수 있을 듯 함.
'AI & Deep Learning' 카테고리의 다른 글
| [구글 코랩] 재미로 돌려보는 딥러닝... 내일의 삼전주가.... (0) | 2021.03.08 |
|---|---|
| [구글 코랩 - 시작] 삼성전자 데이터 수집. (0) | 2021.03.06 |
| 모바일용 머신러닝 라이브러리 (0) | 2019.02.20 |
Comments